Plotnine is a data visualisation
package for Python based on the grammar of graphics, created by Hassan
Kibirige. Its API is similar to
ggplot2, a widely successful R package
by Hadley Wickham and
others.[1]
I’m a staunch proponent of ggplot2. The underlying grammar of graphics
is accompanied by a consistent API that allows you to quickly and
iteratively create different types of beautiful data visualisations
while rarely having to consult the documentation. A welcoming set of
properties when doing exploratory data analysis.
I must admit that I haven’t tried every data visualisation package there
is for Python, but when it comes to the most popular ones, I personally
find them either convenient but limited
(pandas),
flexible but complicated (matplotlib), or
beautiful but inconsistent (seaborn).
Your mileage may vary. plotnine, on the other hand, shows a lot of
promise. I estimate it currently has a 95% coverage of ggplot2’s
functionality, and it’s still actively being developed. All in all, as
someone who uses both R and Python, I’m very pleased to be able to
transfer my ggplot2 knowledge to the Python ecosystem.
I figured that plotnine could use a good tutorial so that perhaps more
Pythonistas would give this package a shot. Instead of writing one from
scratch, I turned to the, in my opinion, best free tutorial for ggplot2:
R for Data Science by Hadley Wickham and
Garrett Grolemund, published by O’Reilly Media in 2016.
All I had to do was translate[2] the visualization chapters (chapter 3
and 28) from R and ggplot2 to Python and plotnine. I would like to thank
Hadley, Garrett, and O’Reilly Media, for granting me permission to do
so. Translating an existing text is quicker than writing a new one, and
has the benefit that it becomes possible to compare both the syntax and
coverage of plotnine to ggplot2.
However, while quicker, translating is not always straightforward. I
have tried to change as little as possible to the original text while
making sure that the text and the code are still in sync. In case any
errors or falsehoods have been introduced due to translation, then I’m
the one to blame. For example, to the best of my knowledge, neither
authors have made any claims about plotnine. If you find such an error
and think it is fixable, then it would be greatly appreciated if you’d
let me know by creating an issue on
Github.
Thank you. The section numbers in this tutorial link back to the
corresponding section of the original text, in case you want to compare
them.[3] Only this preface and the few footnotes scattered among the
text are entirely mine.
This tutorial is also available as a Jupyter
notebook
and an R
notebook
in case you want to follow along. If you clone the Github
repository
then you can find the notebooks in the output directory. The
README
contains instructions on how to run the notebooks. The Jupyter notebook
is also available on
Binder,
but keep in mind that the interactive version may take a while to
launch.
Without further ado, let’s start learning about plotnine!
“The simple graph has brought more information to the data analyst’s
mind than any other device.” — John Tukey
This tutorial will teach you how to visualise your data using plotnine.
Python has many packages for making graphs, but plotnine is one of the
most elegant and most versatile. plotnine implements the grammar of
graphics, a coherent system for describing and building graphs. With
plotnine, you can do more faster by learning one system and applying it
in many places.
If you’d like to learn more about the theoretical underpinnings of
plotnine before you start, I’d recommend reading The Layered Grammar of
Graphics.
This tutorial focusses on plotnine. We’ll also use a little numpy and
pandas for data manipulation. To access the datasets, help pages, and
functions that we will use in this tutorial, import[4] the necessary
packages by running this code:
from plotnine import*from plotnine.data import*import numpy as np
import pandas as pd
If you run this code and get the error message
ModuleNotFoundError: No module named 'plotnine', you’ll need to first
install it[5], then run the code once again.
! pip install plotnine[all]
You only need to install a package once, but you need to import it every
time you run your script or (re)start the kernel.
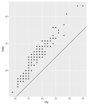
Let’s use our first graph to answer a question: Do cars with big engines
use more fuel than cars with small engines? You probably already have an
answer, but try to make your answer precise. What does the relationship
between engine size and fuel efficiency look like? Is it positive?
Negative? Linear? Nonlinear?
You can test your answer with the mpg DataFrame found in
plotnine.data. A DataFrame is a rectangular collection of variables
(in the columns) and observations (in the rows). mpg contains
observations collected by the US Environmental Protection Agency on 38
models of car.
mpg
manufacturer model displ year cyl trans drv cty hwy fl class
0 audi a4 1.8 1999 4 auto(l5) f 18 29 p compact
1 audi a4 1.8 1999 4 manual(m5) f 21 29 p compact
2 audi a4 2.0 2008 4 manual(m6) f 20 31 p compact
3 audi a4 2.0 2008 4 auto(av) f 21 30 p compact
4 audi a4 2.8 1999 6 auto(l5) f 16 26 p compact
.. ... ... ... ... ... ... .. ... ... .. ...
229 volkswagen passat 2.0 2008 4 auto(s6) f 19 28 p midsize
230 volkswagen passat 2.0 2008 4 manual(m6) f 21 29 p midsize
231 volkswagen passat 2.8 1999 6 auto(l5) f 16 26 p midsize
232 volkswagen passat 2.8 1999 6 manual(m5) f 18 26 p midsize
233 volkswagen passat 3.6 2008 6 auto(s6) f 17 26 p midsize
[234 rows x 11 columns]
Among the variables in mpg are:
displ, a car’s engine size, in litres.
hwy, a car’s fuel efficiency on the highway, in miles per gallon
(mpg). A car with a low fuel efficiency consumes more fuel than a
car with a high fuel efficiency when they travel the same distance.
To learn more about mpg, open its help page by running ?mpg.
The plot shows a negative relationship between engine size (displ) and
fuel efficiency (hwy). In other words, cars with big engines use more
fuel. Does this confirm or refute your hypothesis about fuel efficiency
and engine size?
With plotnine, you begin a plot with the function ggplot(). ggplot()
creates a coordinate system that you can add layers to. The first
argument of ggplot() is the dataset to use in the graph. So
ggplot(data=mpg) creates an empty graph, but it’s not very interesting
so I’m not going to show it here.
You complete your graph by adding one or more layers to ggplot(). The
function geom_point() adds a layer of points to your plot, which
creates a scatterplot. plotnine comes with many geom functions that each
add a different type of layer to a plot. You’ll learn a whole bunch of
them throughout this tutorial.
Each geom function in plotnine takes a mapping argument. This defines
how variables in your dataset are mapped to visual properties. The
mapping argument is always paired with aes(), and the x and y
arguments of aes() specify which variables to map to the x and y axes.
plotnine looks for the mapped variables in the data argument, in this
case, mpg.
Let’s turn this code into a reusable template for making graphs with
plotnine. To make a graph, replace the bracketed sections in the code
below with a dataset, a geom function, or a collection of mappings.
The rest of this tutorial will show you how to complete and extend this
template to make different types of graphs. We will begin with the
<MAPPINGS> component.
“The greatest value of a picture is when it forces us to notice what
we never expected to see.” — John Tukey
In the plot below, one group of points (highlighted in red) seems to
fall outside of the linear trend. These cars have a higher mileage than
you might expect. How can you explain these cars?
Let’s hypothesize that the cars are hybrids. One way to test this
hypothesis is to look at the class value for each car. The class
variable of the mpg dataset classifies cars into groups such as
compact, midsize, and SUV. If the outlying points are hybrids, they
should be classified as compact cars or, perhaps, subcompact cars (keep
in mind that this data was collected before hybrid trucks and SUVs
became popular).
You can add a third variable, like class, to a two dimensional
scatterplot by mapping it to an aesthetic. An aesthetic is a visual
property of the objects in your plot. Aesthetics include things like the
size, the shape, or the color of your points. You can display a point
(like the one below) in different ways by changing the values of its
aesthetic properties. Since we already use the word “value” to describe
data, let’s use the word “level” to describe aesthetic properties. Here
we change the levels of a point’s size, shape, and color to make the
point small, triangular, or blue:
You can convey information about your data by mapping the aesthetics in
your plot to the variables in your dataset. For example, you can map the
colors of your points to the class variable to reveal the class of
each car.
(If you prefer British English, like Hadley, you can use colour
instead of color.)
To map an aesthetic to a variable, associate the name of the aesthetic
to the name of the variable inside aes(). plotnine will automatically
assign a unique level of the aesthetic (here a unique color) to each
unique value of the variable, a process known as scaling. plotnine
will also add a legend that explains which levels correspond to which
values.
The colors reveal that many of the unusual points are two-seater cars.
These cars don’t seem like hybrids, and are, in fact, sports cars!
Sports cars have large engines like SUVs and pickup trucks, but small
bodies like midsize and compact cars, which improves their gas mileage.
In hindsight, these cars were unlikely to be hybrids since they have
large engines.
In the above example, we mapped class to the color aesthetic, but we
could have mapped class to the size aesthetic in the same way. In this
case, the exact size of each point would reveal its class affiliation.
We get a warning here, because mapping an unordered variable (class)
to an ordered aesthetic (size) is not a good idea.
./venv/lib/python3.7/site-packages/plotnine/scales/scale_size.py:50: PlotnineWarning: Using alpha for a discrete variable is not advised.
PlotnineWarning
Similarly, we could have mapped manufacturer to the alpha aesthetic,
which controls the transparency of the points, or to the shape
aesthetic, which controls the shape of the points.[7]
# Left
ggplot(data=mpg)+\
geom_point(mapping=aes(x="displ", y="hwy", alpha="manufacturer"))# Right
ggplot(data=mpg)+\
geom_point(mapping=aes(x="displ", y="hwy", shape="manufacturer"))
What happened to Toyota and Volkswagen? plotnine will only use 13 shapes
at a time. By default, additional groups will go unplotted when you use
the shape aesthetic.
For each aesthetic, you use aes() to associate the name of the
aesthetic with a variable to display. The aes() function gathers
together each of the aesthetic mappings used by a layer and passes them
to the layer’s mapping argument. The syntax highlights a useful insight
about x and y: the x and y locations of a point are themselves
aesthetics, visual properties that you can map to variables to display
information about the data.
Once you map an aesthetic, plotnine takes care of the rest. It selects a
reasonable scale to use with the aesthetic, and it constructs a legend
that explains the mapping between levels and values. For x and y
aesthetics, plotnine does not create a legend, but it creates an axis
line with tick marks and a label. The axis line acts as a legend; it
explains the mapping between locations and values.
You can also set the aesthetic properties of your geom manually. For
example, we can make all of the points in our plot blue:
Here, the color doesn’t convey information about a variable, but only
changes the appearance of the plot. To set an aesthetic manually, set
the aesthetic by name as an argument of your geom function; i.e. it goes
outside of aes(). You’ll need to pick a level that makes sense for
that aesthetic:
The name of a color as a string.
The size of a point in mm.
The shape of a point as a character or number, as shown below.
Which variables in mpg are categorical? Which variables are
continuous? (Hint: type ?mpg to read the documentation for the
dataset). How can you see this information when you run mpg?
Map a continuous variable to color, size, and shape. How do
these aesthetics behave differently for categorical vs. continuous
variables?
What happens if you map the same variable to multiple aesthetics?
What does the stroke aesthetic do? What shapes does it work with?
(Hint: use ?geom_point)
What happens if you map an aesthetic to something other than a
variable name, like aes(colour="displ < 5")? Note, you’ll also
need to specify x and y.
As you start to run Python code, you’re likely to run into problems.
Don’t worry — it happens to everyone. I have been writing Python code
for years, and every day I still write code that doesn’t work!
Start by carefully comparing the code that you’re running to the code in
the book. Python is extremely picky, and a misplaced character can make
all the difference. Make sure that every ( is matched with a ) and
every " is paired with another ".
One common problem when creating plotnine graphics is to forget the \:
it has to come at the end of the line. In other words, make sure you
haven’t accidentally written code like this:
If you’re still stuck, try the help. You can get help about any Python
function by running ?function_name. Don’t worry if the help doesn’t
seem that helpful - instead skip down to the examples and look for code
that matches what you’re trying to do.
If that doesn’t help, carefully read the error message. Sometimes the
answer will be buried there! But when you’re new to Python, the answer
might be in the error message but you don’t yet know how to understand
it. Another great tool is Google: try googling the error message, as
it’s likely someone else has had the same problem, and has gotten help
online.
One way to add additional variables is with aesthetics. Another way,
particularly useful for categorical variables, is to split your plot
into facets, subplots that each display one subset of the data.
To facet your plot by a single variable, use facet_wrap(). The first
argument of facet_wrap() should be a formula, which you create with
~ followed by a variable name (here “formula” is the name of a data
structure in Python, not a synonym for “equation”). The variable that
you pass to facet_wrap() should be discrete.
To facet your plot on the combination of two variables, add
facet_grid() to your plot call. The first argument of facet_grid()
is also a formula. This time the formula should contain two variable
names separated by a ~.
What are the advantages to using faceting instead of the colour
aesthetic? What are the disadvantages? How might the balance change
if you had a larger dataset?
Read ?facet_wrap. What does nrow do? What does ncol do? What
other options control the layout of the individual panels? Why
doesn’t facet_grid() have nrow and ncol arguments?
When using facet_grid() you should usually put the variable with
more unique levels in the columns. Why?
Both plots contain the same x variable, the same y variable, and both
describe the same data. But the plots are not identical. Each plot uses
a different visual object to represent the data. In plotnine syntax, we
say that they use different geoms.
A geom is the geometrical object that a plot uses to represent data.
People often describe plots by the type of geom that the plot uses. For
example, bar charts use bar geoms, line charts use line geoms, boxplots
use boxplot geoms, and so on. Scatterplots break the trend; they use the
point geom. As we see above, you can use different geoms to plot the
same data. The plot on the left uses the point geom, and the plot on the
right uses the smooth geom, a smooth line fitted to the data.
To change the geom in your plot, change the geom function that you add
to ggplot(). For instance, to make the plots above, you can use this
code:
# Left
ggplot(data=mpg)+\
geom_point(mapping=aes(x="displ", y="hwy"))# Right
ggplot(data=mpg)+\
geom_smooth(mapping=aes(x="displ", y="hwy"))
Every geom function in plotnine takes a mapping argument. However, not
every aesthetic works with every geom. You could set the shape of a
point, but you couldn’t set the “shape” of a line. On the other hand,
you could set the linetype of a line. geom_smooth() will draw a
different line, with a different linetype, for each unique value of the
variable that you map to linetype.
Here geom_smooth() separates the cars into three lines based on their
drv value, which describes a car’s drivetrain. One line describes all
of the points with a 4 value, one line describes all of the points
with an f value, and one line describes all of the points with an r
value. Here, 4 stands for four-wheel drive, f for front-wheel drive,
and r for rear-wheel drive.
If this sounds strange, we can make it more clear by overlaying the
lines on top of the raw data and then coloring everything according to
drv.
Notice that this plot contains two geoms in the same graph! If this
makes you excited, buckle up. We will learn how to place multiple geoms
in the same plot very soon.
plotnine provides over 30 geoms. The best way to get a comprehensive
overview is the ggplot2 cheatsheet, which you can find at
http://rstudio.com/cheatsheets. To learn more about any single geom,
use help: ?geom_smooth.
Many geoms, like geom_smooth(), use a single geometric object to
display multiple rows of data. For these geoms, you can set the group
aesthetic to a categorical variable to draw multiple objects. plotnine
will draw a separate object for each unique value of the grouping
variable. In practice, plotnine will automatically group the data for
these geoms whenever you map an aesthetic to a discrete variable (as in
the linetype example). It is convenient to rely on this feature
because the group aesthetic by itself does not add a legend or
distinguishing features to the geoms.
This, however, introduces some duplication in our code. Imagine if you
wanted to change the y-axis to display cty instead of hwy. You’d
need to change the variable in two places, and you might forget to
update one. You can avoid this type of repetition by passing a set of
mappings to ggplot(). plotnine will treat these mappings as global
mappings that apply to each geom in the graph. In other words, this code
will produce the same plot as the previous code:
If you place mappings in a geom function, plotnine will treat them as
local mappings for the layer. It will use these mappings to extend or
overwrite the global mappings for that layer only. This makes it
possible to display different aesthetics in different layers.
You can use the same idea to specify different data for each layer.
Here, our smooth line displays just a subset of the mpg dataset, the
subcompact cars. The local data argument in geom_smooth() overrides
the global data argument in ggplot() for that layer only.
Recreate the Python code necessary to generate the following graphs.
You can learn which stat a geom uses by inspecting the default value for
the stat argument. For example, ?geom_bar shows that the default
value for stat is “count”, which means that geom_bar() uses
stat_count(). stat_count() is documented on the same page as
geom_bar(), and if you scroll down you can find a section called
“Computed variables”. That describes how it computes two new variables:
count and prop.
You can generally use geoms and stats interchangeably. For example, you
can recreate the previous plot using stat_count() instead of
geom_bar():
This works because every geom has a default stat; and every stat has a
default geom. This means that you can typically use geoms without
worrying about the underlying statistical transformation. There are
three reasons you might need to use a stat explicitly:
You might want to override the default stat. In the code below, I
change the stat of geom_bar() from count (the default) to
identity. This lets me map the height of the bars to the raw values
of a “y” variable. Unfortunately when people talk about bar charts
casually, they might be referring to this type of bar chart, where
the height of the bar is already present in the data, or the
previous bar chart where the height of the bar is generated by
counting rows.
You might want to override the default mapping from transformed
variables to aesthetics. For example, you might want to display a
bar chart of proportion, rather than count:
To find the variables computed by the stat, look for the help
section titled "computed variables".
You might want to draw greater attention to the statistical
transformation in your code. For example, you might use
stat_summary(), which summarises the y values for each unique x
value, to draw attention to the summary that you’re computing:
plotnine provides over 20 stats for you to use. Each stat is a function,
so you can get help in the usual way, e.g. ?stat_bin. To see a
complete list of stats, try the ggplot2 cheatsheet.
What is the default geom associated with stat_summary()? How could
you rewrite the previous plot to use that geom function instead of
the stat function?
What does geom_col() do? How is it different to geom_bar()?
Most geoms and stats come in pairs that are almost always used in
concert. Read through the documentation and make a list of all the
pairs. What do they have in common?
What variables does stat_smooth() compute? What parameters control
its behaviour?
In our proportion bar chart, we need to set group=1. Why? In other
words what is the problem with these two graphs?
There’s one more piece of magic associated with bar charts. You can
colour a bar chart using either the colour aesthetic, or, more
usefully, fill:
# Left
ggplot(data=diamonds)+\
geom_bar(mapping=aes(x="cut", colour="cut"))# Right
ggplot(data=diamonds)+\
geom_bar(mapping=aes(x="cut", fill="cut"))
Note what happens if you map the fill aesthetic to another variable,
like clarity: the bars are automatically stacked. Each colored
rectangle represents a combination of cut and clarity.
The stacking is performed automatically by the position adjustment
specified by the position argument. If you don’t want a stacked bar
chart, you can use one of three other options: "identity", "dodge"
or "fill".
position="identity" will place each object exactly where it falls in
the context of the graph. This is not very useful for bars, because it
overlaps them. To see that overlapping we either need to make the bars
slightly transparent by setting alpha to a small value, or
completely transparent by setting fill=None.
# Left
ggplot(data=diamonds, mapping=aes(x="cut", fill="clarity"))+\
geom_bar(alpha=1/5, position="identity")# Right
ggplot(data=diamonds, mapping=aes(x="cut", colour="clarity"))+\
geom_bar(fill=None, position="identity")
The identity position adjustment is more useful for 2d geoms, like points,
where it is the default.
position="fill" works like stacking, but makes each set of stacked
bars the same height. This makes it easier to compare proportions
across groups.
There’s one other type of adjustment that’s not useful for bar charts,
but it can be very useful for scatterplots. Recall our first
scatterplot. Did you notice that the plot displays only 126 points, even
though there are 234 observations in the dataset?
The values of hwy and displ are rounded so the points appear on a
grid and many points overlap each other. This problem is known as
overplotting. This arrangement makes it hard to see where the mass
of the data is. Are the data points spread equally throughout the graph,
or is there one special combination of hwy and displ that contains
109 values?
You can avoid this gridding by setting the position adjustment to
“jitter”. position="jitter" adds a small amount of random noise to
each point. This spreads the points out because no two points are likely
to receive the same amount of random noise.
Adding randomness seems like a strange way to improve your plot, but
while it makes your graph less accurate at small scales, it makes your
graph more revealing at large scales. Because this is such a useful
operation, plotnine comes with a shorthand for
geom_point(position="jitter"): geom_jitter().
To learn more about a position adjustment, look up the help page
associated with each adjustment: ?position_dodge, ?position_fill,
?position_identity, ?position_jitter, and ?position_stack.
Coordinate systems are probably the most complicated part of plotnine.
The default coordinate system is the Cartesian coordinate system where
the x and y positions act independently to determine the location of
each point. There is one other coordinate system that is occasionally
helpful.[9]
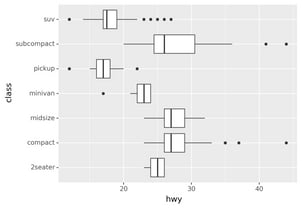
coord_flip() switches the x and y axes. This is useful (for
example), if you want horizontal boxplots. It’s also useful for long
labels: it’s hard to get them to fit without overlapping on the
x-axis.
# Left
ggplot(data=mpg, mapping=aes(x="class", y="hwy"))+\
geom_boxplot()# Right
ggplot(data=mpg, mapping=aes(x="class", y="hwy"))+\
geom_boxplot()+\
coord_flip()
In the previous sections, you learned much more than how to make
scatterplots, bar charts, and boxplots. You learned a foundation that
you can use to make any type of plot with plotnine. To see this, let’s
add position adjustments, stats, coordinate systems, and faceting to our
code template:
Our new template takes seven parameters, the bracketed words that appear
in the template. In practice, you rarely need to supply all seven
parameters to make a graph because plotnine will provide useful defaults
for everything except the data, the mappings, and the geom function.
The seven parameters in the template compose the grammar of graphics, a
formal system for building plots. The grammar of graphics is based on
the insight that you can uniquely describe any plot as a combination
of a dataset, a geom, a set of mappings, a stat, a position adjustment,
a coordinate system, and a faceting scheme.
To see how this works, consider how you could build a basic plot from
scratch: you could start with a dataset and then transform it into the
information that you want to display (with a stat).
Next, you could choose a geometric object to represent each observation
in the transformed data. You could then use the aesthetic properties of
the geoms to represent variables in the data. You would map the values
of each variable to the levels of an aesthetic.
You’d then select a coordinate system to place the geoms into. You’d use
the location of the objects (which is itself an aesthetic property) to
display the values of the x and y variables. At that point, you would
have a complete graph, but you could further adjust the positions of the
geoms within the coordinate system (a position adjustment) or split the
graph into subplots (faceting). You could also extend the plot by adding
one or more additional layers, where each additional layer uses a
dataset, a geom, a set of mappings, a stat, and a position adjustment.
You could use this method to build any plot that you imagine. In other
words, you can use the code template that you’ve learned in this chapter
to build hundreds of thousands of unique plots.
Now that you understand your data, you need to communicate your
understanding to others. Your audience will likely not share your
background knowledge and will not be deeply invested in the data. To
help others quickly build up a good mental model of the data, you will
need to invest considerable effort in making your plots as
self-explanatory as possible. In this chapter, you’ll learn some of the
tools that plotnine provides to do so.
The rest of this tutorial focuses on the tools you need to create good
graphics. I assume that you know what you want, and just need to know
how to do it. For that reason, I highly recommend pairing this chapter
with a good general visualisation book. I particularly like The
Truthful Art, by Albert Cairo. It doesn’t
teach the mechanics of creating visualisations, but instead focuses on
what you need to think about in order to create effective graphics.
The easiest place to start when turning an exploratory graphic into an
expository graphic is with good labels. You add labels with the labs()
function. This example adds a plot title:
ggplot(mpg, aes("displ","hwy"))+\
geom_point(aes(color="class"))+\
geom_smooth(se=False)+\
labs(title="Fuel efficiency generally decreases with engine size")
The purpose of a plot title is to summarise the main finding. Avoid
titles that just describe what the plot is, e.g. “A scatterplot of
engine displacement vs. fuel economy”.
You can also use labs() to replace the axis and legend titles.[10]
It’s usually a good idea to replace short variable names with more
detailed descriptions, and to include the units.
It’s possible to use mathematical equations instead of text strings. You
have to tell matplotlib, which is used by plotnine to do the actuall
plotting, to use LaTeX for rendering text:
Create one plot on the fuel economy data with customised title,
x, y, and colour labels.
The geom_smooth() is somewhat misleading because the hwy for
large engines is skewed upwards due to the inclusion of lightweight
sports cars with big engines. Use your modelling tools to fit and
display a better model.
Take an exploratory graphic that you’ve created in the last month,
and add an informative title to make it easier for others to
understand.
In addition to labelling major components of your plot, it’s often
useful to label individual observations or groups of observations. The
first tool you have at your disposal is geom_text(). geom_text() is
similar to geom_point(), but it has an additional aesthetic: label.
This makes it possible to add textual labels to your plots.
There are two possible sources of labels. First, you might have a
DataFrame that provides labels. The plot below isn’t terribly useful,
but it illustrates a useful approach: pull out the most efficient car in
each class with pandas, and then label it on the plot:
This is hard to read because the labels overlap with each other, and
with the points. We can make things a little better by switching to
geom_label() which draws a rectangle behind the text. We also use the
nudge_y parameter to move the labels slightly above the corresponding
points:
That helps a bit, but if you look closely in the top-left hand corner,
you’ll notice that there are two labels practically on top of each
other. This happens because the highway mileage and displacement for the
best cars in the compact and subcompact categories are exactly the same.
There’s no way that we can fix these by applying the same transformation
for every label. Instead, we can use the adjust_text argument. This
useful argument, which employs the adjustText package under the hood,
will automatically adjust labels so that they don’t overlap:
Note another handy technique used here: I added a second layer of large,
hollow points to highlight the points that I’ve labelled.
You can sometimes use the same idea to replace the legend with labels
placed directly on the plot. It’s not wonderful for this plot, but it
isn’t too bad.[11] (theme(legend_position="none") turns the legend
off — we’ll talk about it more shortly.)
Alternatively, you might just want to add a single label to the plot,
but you’ll still need to create a DataFrame. Often, you want the label
in the corner of the plot, so it’s convenient to create a new DataFrame
using pd.DataFrame() and max() to compute the maximum values of x
and y.
label = pd.DataFrame({"displ":[mpg.displ.max()],"hwy":[mpg.hwy.max()],"label":"Increasing engine size is \nrelated to decreasing fuel economy."})
ggplot(mpg, aes("displ","hwy"))+\
geom_point()+\
geom_text(aes(label="label"), data=label, va="top", ha="right")
If you want to place the text exactly on the borders of the plot, you
can use +np.Inf and -np.Inf:
label = pd.DataFrame({"displ":[np.Inf],"hwy":[np.Inf],"label":"Increasing engine size is \nrelated to decreasing fuel economy."})
ggplot(mpg, aes("displ","hwy"))+\
geom_point()+\
geom_text(aes(label="label"), data=label, va="top", ha="right")
In these examples, I manually broke the label up into lines using
"\n". Another approach is to use the fill function from the
textwrap module to automatically add line breaks, given the number of
characters you want per line:
from textwrap import fill
print(fill("Increasing engine size is related to decreasing fuel economy.", width=40))
Increasing engine size is related to
decreasing fuel economy.
Note the use of ha and va to control the alignment of the label. The
figure below shows all nine possible combinations.
Remember, in addition to geom_text(), you have many other geoms in
plotnine available to help annotate your plot. A few ideas:
Use geom_hline() and geom_vline() to add reference lines. I often
make them thick (size=2) and white (colour="white"), and draw them
underneath the primary data layer. That makes them easy to see,
without drawing attention away from the data.
Use geom_rect() to draw a rectangle around points of interest. The
boundaries of the rectangle are defined by aesthetics xmin, xmax,
ymin, ymax.
Use geom_segment() with the arrow argument to draw attention to a
point with an arrow. Use aesthetics x and y to define the starting
location, and xend and yend to define the end location.
The only limit is your imagination (and your patience with positioning
annotations to be aesthetically pleasing)!
Use geom_text() with infinite positions to place text at the four
corners of the plot.
Read the documentation for annotate(). How can you use it to add a
text label to a plot without having to create a DataFrame?
How do labels with geom_text() interact with faceting? How can you
add a label to a single facet? How can you put a different label in
each facet? (Hint: think about the underlying data.)
What arguments to geom_label() control the appearance of the
background box?
What are the four arguments to arrow()? How do they work? Create a
series of plots that demonstrate the most important options.
The third way you can make your plot better for communication is to
adjust the scales. Scales control the mapping from data values to things
that you can perceive. Normally, plotnine automatically adds scales for
you. For example, when you type:
Note the naming scheme for scales: scale_ followed by the name of the
aesthetic, then _, then the name of the scale. The default scales are
named according to the type of variable they align with: continuous,
discrete, datetime, or date. There are lots of non-default scales which
you’ll learn about below.
The default scales have been carefully chosen to do a good job for a
wide range of inputs. Nevertheless, you might want to override the
defaults for two reasons:
You might want to tweak some of the parameters of the default scale.
This allows you to do things like change the breaks on the axes, or
the key labels on the legend.
You might want to replace the scale altogether, and use a completely
different algorithm. Often you can do better than the default because
you know more about the data.
There are two primary arguments that affect the appearance of the ticks
on the axes and the keys on the legend: breaks and labels. Breaks
controls the position of the ticks, or the values associated with the
keys. Labels controls the text label associated with each tick/key. The
most common use of breaks is to override the default choice:
You can use labels in the same way (a list of strings the same length
as breaks), but you can also suppress the labels altogether by passing
a list of empty strings. This is useful for maps, or for publishing
plots where you can’t share the absolute numbers. Note that the list of
labels needs to be of the same length as the list of values, so a helper
function like no_labels is convenient[12]:
You can also use breaks and labels to control the appearance of
legends. Collectively axes and legends are called guides. Axes are
used for x and y aesthetics; legends are used for everything else.
Another use of breaks is when you have relatively few data points and
want to highlight exactly where the observations occur. For example,
take this plot that shows when each US president started and ended their
term.
You will most often use breaks and labels to tweak the axes. While
they both also work for legends, there are a few other techniques you
are more likely to use.
To control the overall position of the legend, you need to use a
theme() setting. We’ll come back to themes at the end of the chapter,
but in brief, they control the non-data parts of the plot. The theme
setting legend_position controls where the legend is drawn.
Unfortunately, in order to position the legend correctly on the left or
the bottom, we have to be a bit more explicit. Just using “left” and
“bottom” may cause the legend to overlap the axis labels. Your milage
may vary.
base = ggplot(mpg, aes("displ","hwy"))+\
geom_point(aes(colour="class"))
base + theme(legend_position="right")# the default
base + theme(subplots_adjust={'left':0.3})+ theme(legend_position=(0,0.5))
base + theme(legend_position="top")
base + theme(subplots_adjust={'bottom':0.3}, legend_position=(.5,0), legend_direction='horizontal')
You can also use legend_position="none" to suppress the display of the
legend altogether.
To control the display of individual legends, use guides() along with
guide_legend() or guide_colourbar(). The following example shows two
important settings: controlling the number of rows the legend uses with
nrow, and overriding one of the aesthetics to make the points bigger.
This is particularly useful if you have used a low alpha to display
many points on a plot.
Instead of just tweaking the details a little, you can instead replace
the scale altogether. There are two types of scales you’re mostly likely
to want to switch out: continuous position scales and colour scales.
Fortunately, the same principles apply to all the other aesthetics, so
once you’ve mastered position and colour, you’ll be able to quickly pick
up other scale replacements.
It’s very useful to plot transformations of your variable. For example,
with the diamonds DataFrame, it’s easier to see the precise
relationship between carat and price if we log transform them:
However, the disadvantage of this transformation is that the axes are
now labelled with the transformed values, making it hard to interpret
the plot. Instead of doing the transformation in the aesthetic mapping,
we can instead do it with the scale. This is visually identical, except
the axes are labelled on the original data scale.
Another scale that is frequently customised is colour. The default
categorical scale picks colours that are evenly spaced around the colour
wheel. Useful alternatives are the ColorBrewer scales which have been
hand tuned to work better for people with common types of colour
blindness. The two plots below look similar, but there is enough
difference in the shades of red and green that the dots on the right can
be distinguished even by people with red-green colour blindness.
Don’t forget simpler techniques. If there are just a few colours, you
can add a redundant shape mapping. This will also help ensure your plot
is interpretable in black and white.
The ColorBrewer scales are documented online at
http://colorbrewer2.org/ and made available in Python via the
mizani package, by Hassan Kibirige. The figure below shows the
complete list of all palettes. The sequential (top) and diverging
(bottom) palettes are particularly useful if your categorical values are
ordered, or have a “middle”. This often arises if you’ve used pd.cut()
to make a continuous variable into a categorical variable.
When you have a predefined mapping between values and colours, use
scale_colour_manual(). For example, if we map presidential party to
colour, we want to use the standard mapping of red for Republicans and
blue for Democrats:
For continuous colour, you can use the built-in
scale_colour_gradient() or scale_fill_gradient(). If you have a
diverging scale, you can use scale_colour_gradient2(). That allows you
to give, for example, positive and negative values different colours.
That’s sometimes also useful if you want to distinguish points above or
below the mean.
Note that all colour scales come in two variety: scale_colour_x() and
scale_fill_x() for the colour and fill aesthetics respectively
(the colour scales are available in both UK and US spellings).
You can also set the limits on individual scales. Reducing the limits
is basically equivalent to subsetting the data. It is generally more
useful if you want expand the limits, for example, to match scales
across different plots. For example, if we extract two classes of cars
and plot them separately, it’s difficult to compare the plots because
all three scales (the x-axis, the y-axis, and the colour aesthetic) have
different ranges.
In this particular case, you could have simply used faceting, but this
technique is useful more generally, if for instance, you want spread
plots over multiple pages of a report.
plotnine includes twelve themes by default. The figure below shows eight
of those. The
documentation
lists all available themes.
Many people wonder why the default theme has a grey background. This was
a deliberate choice because it puts the data forward while still making
the grid lines visible. The white grid lines are visible (which is
important because they significantly aid position judgements), but they
have little visual impact and we can easily tune them out. The grey
background gives the plot a similar typographic colour to the text,
ensuring that the graphics fit in with the flow of a document without
jumping out with a bright white background. Finally, the grey background
creates a continuous field of colour which ensures that the plot is
perceived as a single visual entity.
It’s also possible to control individual components of each theme, like
the size and colour of the font used for the y axis. Unfortunately, this
level of detail is outside the scope of this book, so you’ll need to
read the ggplot2 book for the full
details. You can also create your own themes, if you are trying to match
a particular corporate or journal style.
The best way to get your plots out of Python and into your final
write-up[13] is with the .save() method. There’s also the ggsave()
function, but the plotnine documentation doesn’t recommend using this.
The .save() method will save the plot to disk. In a Jupyter Notebook
you can refer to the last returned value using _. Alternatively you
first assing your plot to a variable.
ggplot(mpg, aes("displ","hwy"))+ geom_point()
_.save("my-plot.pdf")
If you don’t specify the width and height they will be set to 6.4
and 4.8 inches, respectively. If you don’t specify filename, plotnine
will generate one for you, e.g., “plotnine-save-297120101.pdf”. For
reproducible code, you’ll want to specify them. You can learn more about
the .save() method in the documentation.
It can be a challenge to get your figure in the right size and shape.
There are four options that control figure sizing: width, height,
units, and dpi.
If you find that you’re having to squint to read the text in your plot,
you need to tweak width and height. If the width is larger than
the size the figure is rendered in the final doc, the text will be too
small; if width is smaller, the text will be too big. You’ll often
need to do a little experimentation to figure out the right ratio
between the width and the eventual width in your document. To
illustrate the principle, the following three plots have width of 4,
6, and 8 respectively (and a height which is 0.618 times the width,
i.e., the golden ratio):
The absolute best place to learn more is the ggplot2 book: ggplot2:
Elegant graphics for data analysis. It
goes into much more depth about the underlying theory, and has many more
examples of how to combine the individual pieces to solve practical
problems. Unfortunately, the book is not available online for free,
although you can find the source code at
https://github.com/hadley/ggplot2-book.
There have been other attempts at porting ggplot2 to Python, such
as ggpy, but as far as I know, these
are no longer maintained. ↩︎
It’s important to note that this tutorial is not meant to compare
Python and R. The never-ending flame wars between these two
languages are boring and unproductive. ↩︎
While it’s generally considered to be bad practice to import
everything into the global namespace, I think it’s fine to do this
in an ad-hoc environment such as a notebook as it makes using the
many functions plotnine provides more convenient. An additional
advantage is that the resulting code more closely resembles the
original ggplot2 code. Alternatively, it’s quite common to
import plotnine as p9 and prefix every function with p9.. ↩︎
If you dislike the continuation character \ then an alternative
syntax is to wrap the entire expression in parentheses so that it’s
not needed. ↩︎
The original text uses the class variable, but to demonstrate
the same effect we need to use a variable with more distinct values
because plotnine supports more shapes than ggplot2. ↩︎
The original text has an additional exercise that contains code
which is semantically wrong on purpose, but in plotnine, the
corresponding code is also syntactically wrong. The reason is that
in plotnine, you can only use column names in the aesthetic mapping
and not literal values, e.g., aes(color="blue"). ↩︎
ggplot2 also has coord_quickmap() for producing maps with the
correct aspect ratio and coord_polar() for using polar
coordinates. plotnine doesn’t yet have these two functions. ↩︎
In ggplot2, you can also use labs() to add a subtitle and a
caption. ↩︎
We have to use geom_point() twice here because of an
issue with the
adjustText package. ↩︎
In ggplot2 you can write labels = NULL so you don’t need a
helper function. ↩︎
The original text discusses how to include your plot in R
Markdown. While it’s possible to include Python code and graphics in
an R Markdown document through the reticulate
package, like this tutorial
demonstrates, it’s beyond the scope of this text. If you’re
interested, you can have a look at the Github
repository
related to this tutorial, which includes the .Rmd source. ↩︎
Would you like to receive an email whenever I have a new blog post, organize an event, or have an important announcement to make? Sign up to my newsletter: